Как Теле2 воевали за 200 рублей
Вы будете смеяться, но именно это сумма в 200 рублей стала причиной многодневной эпопеи посвященной противостоянию меня и службы поддержки Теле2. Вы спросите, а при чём тут мой город? Так все действия происходили в Подольске, боюсь, что он частично виной помешательству со стороны Теле2. По какой-то причине, долго и упорно, полученные от моих родителей наличные средства ни как не хотели зачислять на счет одного из моих номеров, однако давайте с самого начала:
Хочется поделиться еще парой увлекательных моментов, прежде чем переходить к выводам:
- в ВК мне рассказали, что оплата наличными в офисе Теле2 – это тоже самое, что и безналичный расчет банковской картой в магазине
- пиком красноречия стали два перла, один в ВК о возможном мошенничестве, см картинку:

и на банки.ру о честности компании, дорожащей своей репутацией и о подписках, которые могут подключиться по неосторожности, см. картинку

Преимущества и недостатки смартфона

Самые распространенные на данный момент телефоны. Смартфон – это телефон, который имеет операционную систему, что позволяет устанавливать на него различный софт. Приведем 5 плюсов и 5 минусов телефонов с операционной системой.
- Есть возможность установить приложения из любой области интересов.
- В аппарат встроена камера, как правило, достаточно хорошего качества. Эта функция позволяет использовать смартфон в качестве полноценного фотоаппарата, видеокамеры или видеорегистратора.
- Смартфон может заменить игровую приставку. На аппаратах с хорошими характеристиками можно играть даже в самые современные игры.
- Большой экран.
- Сенсорное управление. Дисплеи реагируют на несколько одновременных нажатий, что позволяет увеличивать или уменьшать картинку, а также дает возможность комфортного управления в играх.
- Электромагнитное излучение.
- Формирование зависимости от социальных сетей или игр.
- Сходит на нет живое общение.
- Не везде ловит сеть.
- Слабые аккумуляторы.
Tele2 теперь тоже с безлимитным интернетом
В Tele2 долго размышляли, но таки запустили свою версию безлимитного интернета для смартфона на пакетном тарифе. На сравнительно дорогих тарифах в формате платной опции за 100-200 руб./месяц. Также запущен «Пакет SOS», сохраняющий на 1-3 дня доступ к мессенджеру WhatsApp и картам/навигации даже при отрицательном балансе.
На этот раз в Tele2 порадовали сразу двумя позитивными новостями практически одновременно. Безлимитный интернет для смартфона для рынка не новость, непонятна задержка с реализацией. Народ уже начал слегка недоумевать
Причины «театральной паузы» могут быть разными: решали технические вопросы или присматривались к действиям коллег, выбирая оптимальный для себя вариант? Не знаю, да это уже неважно, не такое уж большое опоздание. Сделали — и ладно, желающие будут пользоваться
Что касается «Пакета SOS», то это штука интересная, необычная и, не побоюсь этого слова, знаковая. Популярный мессенджер и карты/навигация будут продолжать работать до трёх дней даже при минусе на счету телефона. Вспомнились давние попытки операторов внедрить нечто похожее с голосовой связью. Звонить с отрицательным балансом можно было, если не ошибаюсь, на ранних версиях тарифа «Классный» МТС и «Первый Детский» «Билайн». Звонить с безумным количеством оговорок и ограничений, но можно было. С «Пакетом SOS» идея та же: не рвать человеку связь с внешним миром только за то, что он забыл, не успел или просто не смог вовремя пополнить баланс. Жители мегаполисов вряд ли поймут, в больших городах найти на улице урну порой труднее, чем точку пополнения баланса. Но обстоятельства бывают разные и география тоже разная. Если «Пакет SOS» срабатывает автоматически (уверяют, что срабатывает), то это здорово. Выбор WhatsApp и навигации в этом пакете тоже разумен: коммуникация со своим кругом общения (мессенджер) и безопасность (карты и навигация).
Описание от Теле2
Оператор создавал опцию, ориентируясь на аудиторию клиентов, которым не хватает входящего в тарифный план объема интернет-трафика. Подключив услугу, абонент получает неограниченный по времени доступ к выходу в сеть, при этом скорость интернета достаточно высокая. Пользоваться услугой удобно с телефонов и планшетов, так как использование на других устройствах, значительно снижает скорость.
Особенности опции:
- подключение доступно для ограниченного числа тарифных планов;
- отсутствие ограничений по трафику при использовании в любых регионах страны;
- не допускается раздача трафика через устройства Bluetooth или Wi-Fi;
- ограничение действует на использование загрузки файлов через программу «торрент».
Создаваемая абонентом слишком большая нагрузка на сеть ограничивается оператором через уменьшение скорости.
Виды комплектов для усиления сигнала Теле2
Для решения неудовлетворительной слышимости, неустойчивой соединения, низкой скорости мобильного интернета, необходимо определить проблемный участок. После можно будет подобрать комплект усилителя сотовой связи Теле2, например:
- Если нужно обеспечить уверенный прием в квартире или частном доме находящимся в городской черте, подойдут недорогие наборы. Которые состоят из 3G, 4G модема или Wi-Fi роутера и комнатной антенны 13 – 14 дБ;
- Для загородного коттеджа, дачи хорошо себя зарекомендовали комплекты с разъемом под SIM-карту, роутером, высокочастотным кабелем и панельной антенной 17 – 20 дБ;
- Чтобы обеспечить потребность в надежной сотовой связи, уверенном трафике интернета, удаленный объект, магазин расположенный в цокольном помещении, нужно покупать соответствующее оборудование. Которое имеет две антенны, это выносное уличное приемное устройство с коэффициентом усиления 10 – 17 дБ, поддерживающие все существующие стандарты и внутреннее передающее устройство. Репитер способный покрыть большую площадь, обеспечивать одновременное пользование необходимому количеству абонентов.

Ночной безлимит с пакетами интернета
При дневной занятости (желании сэкономить) пользователи стараются расходовать гигабайты в ночное время. Именно для таких клиентов мобильный оператор разработал два пакета услуг 20 Гб и 50 Гб. При их подключении ночной Интернет будет безлимитным. Но опции предоставляются с рядом ограничений:
- несовместимы с другими пакетами услуг, предлагающими безлимит;
- не активируются на тарифах, которые предполагают оплату гигабайт.
Услуга обеспечивает неограниченное использование сети с 00:00 до 06:59 после оплаты пакета. Плата снимается ежемесячно. Если гигабайты закончились, а месяц нет, Теле2 предлагает дополнительный безлимитный интернет ночью — 5 пакетов по 1 Гб стоимость 100 руб. каждый. Активируется дополнительный объем автоматически. Но не все пакеты сразу, а по очереди. Если же объем, предусмотренный опцией, не был израсходован полностью, то остаток сгорает. На будущий месяц не перебрасывается.
Подключения в месяц
Опцией предусмотрено 50 Гб интернета в месяц плюс отсутствие ограничений на трафик ночью. Чтобы управлять услугой, надо знать две USSD-команды:
- *155*701# — активировать пакет;
- *155*700# — отказаться от безлимита ночью.
Стоимость опции — 999 рублей в месяц.

Активация в месяц
При подключении пакета абоненту Теле2 предоставляется 20 Гб Интернета в месяц плюс неограниченный трафик ночью. Управлять услугой можно при помощи двух USSD-команд:
- *155*691# — активировать пакет;
- *155*690# — отказаться от безлимита ночью.
Стоимость опции — 699 рублей в месяц.

Дополнительный пакет — Добавить трафик
Оператор Теле2 предоставляет пользователям большой набор дополнительных опций, которые могут быть востребованы в рамках действующего пакета, если трафик исчерпан или абонент пользуется интернетом лишь в редких случаях.
День в сети
Позволит получить 250 Мегабайт интернет-трафика на сутки. Стоить пользователю это будет 15 рублей. Удобство заключается в том, что если владелец гаджета не выходит в течение дня в глобальную сеть, то абонентская плата не списывается. Зато при необходимости воспользоваться расширением достаточно просто – требуется выйти в Интернет любым удобным способом.
Интернет с телефона
Теле2 дает возможность получать дополнительно к предусмотренному в тарифе объему 100 мегабайт в сутки. Первое подключение, как правило, бесплатное, а стоимость повторной активации определяется в зависимости от региона. Стоит отметить, что деньги списываются независимо от того, использовался владельцем устройства интернет или нет.
Портфель интернета
В отличие от двух предыдущих, данная опция Теле2 предоставляется на 30 календарных дней. Она включает 10-15 ГБ (в зависимости от региона) трафика на остаточно высокой скорости.
Чемодан интернета
Если пользователь много времени проводит на просторах сети Интернет и тратит большой объем, то отличным выбором будет «Чемодан». Абонентам, подключившим опцию, предоставляется 30 гигабайт трафика на высокой скорости.
Стоит отметить, что при использовании возможностей, предоставляемых на 30 дней, абонентская плата будет списываться раз за месяц в полном объеме. И, естественно, все указанные услуги могут предоставляться только по отдельности внутри универсальных услуг Теле2.
Использование мобильного телефона в повседневной жизни
Телефон в нашей жизни служит не только для передачи голосовых сообщений. Данный аппарат может пересылать короткие сообщения, выходить в Интернет и синхронизироваться с GPS-станциями для определения координат.
Сейчас сложно представить жизнь без сотового телефона. Многочисленные приложения, которые устанавливаются на аппарат благодаря операционным системам, делают нашу жизнь намного проще. Современный мобильный телефон объединяет в себе сразу несколько устройств, которыми мы пользуемся постоянно.
Телефон может выполнять функцию будильника, компьютера, личного диетолога или фитнес тренера. Благодаря приложениям мы можем контролировать свою двигательную активность, появляется возможность следить за питанием и заносить все данные в специальную программу.
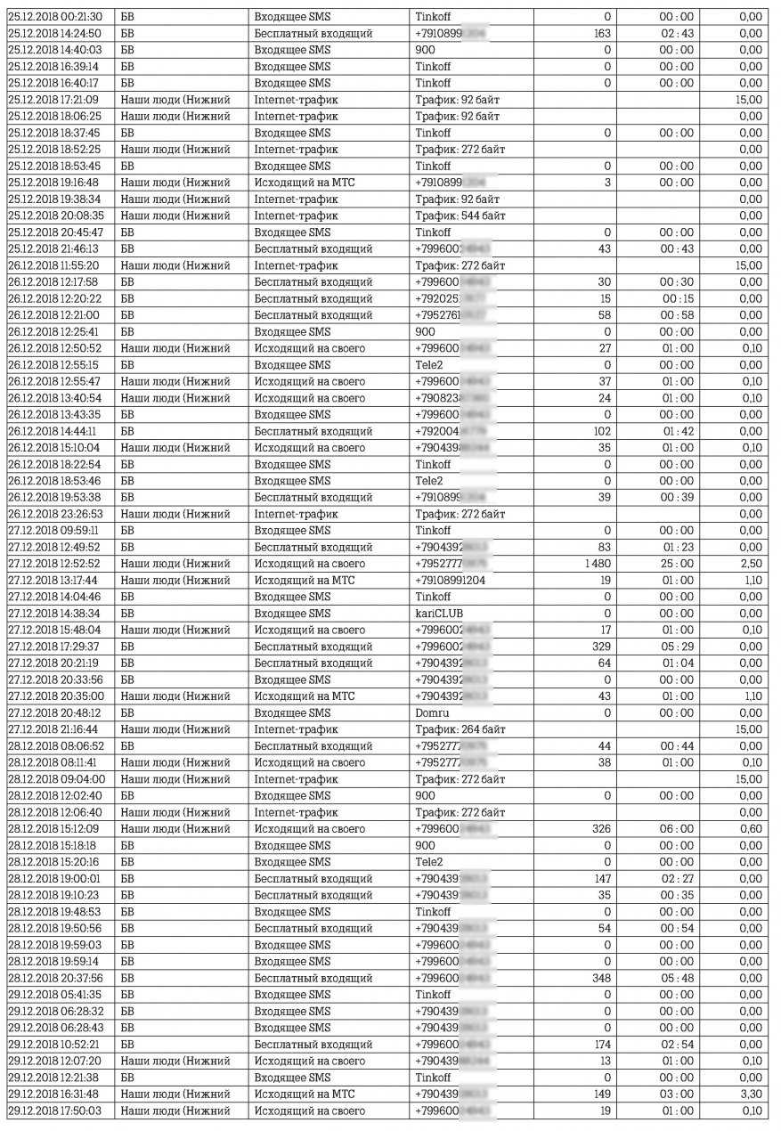
Оценка правомерности Теле2 списания средств за нулевой трафик
Компьютерная грамотность россиян
Очень часто мобильные операторы списывают средства с клиентов за услуги, которые они не подключали. Простому абоненту, порой бывает сложно обнаружить, понять на что ушли деньги? Это бывает из-за низкой компьютерной грамотности, незнания единицы измерения информации, отличии байт от бит от Мбайт и т.д.
На этой неделе широко обсуждалась новость о том, что сотовый оператор Теле2 списал за 0 Мбайт интернет трафика 300 рублей. Многие, при этом, не смогли разобраться, как это могло произойти?

В детализации баланса абонента Теле2 видно, как оператор списывал почти каждый день 15 рублей за сверхмалый объем трафика, измеряемый в несколько сот байт. Как сообщается в источнике, клиент компании позвонил в абонентскую службу по номеру 611, однако два оператора объяснили клиенту, что списания происходили в соответствии с тарифным планом «Наши люди» и даже за несколько байт переданной информации производится списание средств.
Автор публикации задается вопросом: «как абонент может израсходовать всего двести или триста байт интернет трафика?» И дает ответ: «никак. Дело в том, что этот объем информации настолько малый, что для установления самого интернет подключения расходуется больше байт информации нежели за то, за которое происходило списание средств клиента.
Человеку физически невозможно передать микротрафик. К примеру, из детализации видно, что 25.12.2018 было произведено списание за 92 байт информации. Этот объем тождественен с передачей всего нескольких слов по простой радиосвязи»
Информатика и бизнес. В чем расхождение?
Начнем с того, что единицей измерения информации является 1 байт, равный 8 бит. Приставки кило и мега обозначают 10^3 и 10^6 По новым условиям тарифного плана «Наши люди» 10 Мбайт стоят 17 рублей. То есть, по упрощенной схеме перевода, 10 Мбайт это 10^6 байт или 10 000 000 байт. В детализации 25.12.2018 списано 15 рублей, по старому тарифу, за 92 байт.
Автор публикации логично задался вопросом: как клиент мог израсходовать всего 92 байт информации? Попытаемся понять сколько это информации на различных примерах.

HTML код главной страницы google.ru, которая содержит минимум информации и почти не содержит медиданных имеет объем 241 129 байт информации. То есть, если бы абонент действительно зашел даже на самую маленькую страницу, то минимально израсходовал бы данный объем.
Пример на скорости. При включении мобильных данных, смартфон сразу начинает синхронизировать данные. Средняя скорость 3G у Теле2 в Москве составляет 10 397КБит/с. Это 1 299,625 Кбайт/с. Или 1 299 625 байт в секунду. Если бы абонент использовал интернет трафик через 3g сеть, то он должен был бы включить кнопку мобильные данные на смартфоне на 1/( 1 299 625/92) = 0,00007 секунды. Что невозможно. Это снова подтверждает, что абонент не смог бы самостоятельно расходовать столь малый объем трафика.
Выводы
Ежедневные списания 15 рублей за микротрафик происходили без участия абонента, при выключенных мобильных данных на смартфоне. Ежемесячно, на протяжении почти года, со счета абонента происходило списание более 300 рублей за нулевой трафик. В результате клиент потерял несколько тысяч рублей, при этом не использовав услуги оператора.








































